新时代文明实践|凝心聚力战疫情 月小师生在行动
发布时间:2020/2/2 10:28:01 作者:刘梦圆 浏览量:1595次
新时代文明实践|凝心聚力战疫情 月小师生在行动

No.1
多途并举 科学防控
新型冠状病毒感染的肺炎疫情出现以来,伟德可信任网站坚决落实党中央、国务院及省、市、区关于疫情防控的重要工作部署,学校领导班子高度重视,制定了《伟德可信任网站新型冠状病毒感染肺炎的防控工作方案》,并通过网络进行沟通,发布具体工作要求。月小师生积极配合,全体总动员,用实际行动为防控疫情贡献自己的力量。
●发布致师生、员工及家长的一封信

●发布《新型冠状病毒感染防护》指导手册

●发布《防护指南》

●积极开展“每日一报”工作



学生情况汇报

教师情况汇报

●每日校园消毒


No.2
多种形式 表达祝福
队员们通过“写、画、书、演”等形式,表达对中国、武汉的美好祝福,以及对抗疫一线白衣天使的敬仰与祝愿,并通过多种渠道让爸爸妈妈将自己的部分零花钱捐赠给慈善机构。

二年级(6)班 杜屹辰

二年级(11)班 谢婧瑜

二年级(5)班 辛子豪

二年级(5)班 曹雅雯

二年级(5)班 胡杰瑞

一(1)班 李铭哲

二(1)班 赵子僖

二(4)班 李梦茜
二(12)班 刘钰

二(11)班 徐赟木子


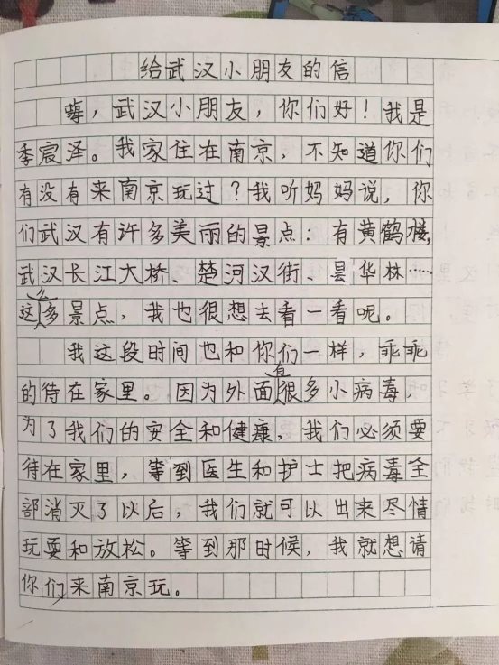
三(2)班 季宸泽

二(10)班 缪卓君


二(1)班 冯薪陶








二(5)班 马语涵


一年级(9)班 的少先队员们
No.3
停课不停学 学科老师在行动
在学校教学管理部的组织下,学科教研组长、集体备课组长认真钻研新教材,利用网络资源自主学习,制定了以教学周为单位的符合教学进度安排的详细学习计划。




武汉必胜!中国必胜!
苏公网安备32011502010427号