新时代文明实践|众志成城,声援武汉——月华少年在行动
发布时间:2020/2/2 10:30:17 作者:刘梦圆 浏览量:2195次
新时代文明实践|众志成城,声援武汉——月华少年在行动

这个寒假
新型冠状病毒肺炎疫情的肆虐
让我们度过了一个安安静静的春节
每一条疫情
牵动着伟德可信任网站
每一位少先队员的心
除了祝福,我们还能做到更多
自我隔离、不添堵、不添乱
响应号召,献出爱心,声援武汉

奉献爱心,助力武汉


用自己的方式,祝福武汉

二(6)中队杜屹辰

一(9)班周宇涵

二(3)中队马梓鑫

二(11)中队徐赟木子

二(5)中队辛子豪

一(5)班朱钰涵



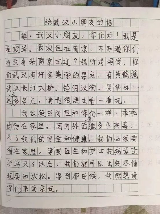
三(2)中队季宸泽

一(2)班李长恩

二(1)中队赵子僖

一(2)班李泽然

二(3)中队江奕璇

二(12)中队刘钰

二(4)中队李梦茜


一(1)班李明哲

二(2)中队李沐姚

二(2)中队朱子熙
众志成城 攻抗疫情

平凡的我们,每日醒来并不觉有何异常,外面时而阴雨潇潇,时而阳光温柔。
不平凡的春节,新型冠状病毒肺炎疫情牵动着每一位中国人的心。
在严阵以待抗击病毒的关键时刻,无数的医生、护士奋斗在防疫一线,他们是最美逆行者。
无数的警察、社区工作者守护着人们的安全,他们是最美守护者。
在这场持久的战“疫”中,有这样一群月华最美父母奋战在这一场无硝烟的战争中,守护好自己的岗位,贡献着自己的力量,他们就是孩子们心目中的英雄!让我们用自己的方式向身边的英雄们致敬!
逸夫医院护士长
朱梓齐妈妈

逸夫医院保卫科工作者
殷紫玉爸爸

社区工作者
张佳琦妈妈

月华少年写给写给抗战在疫情一线父母的家书






这个世界之所以是美好的,
正是因为有这些不肯退缩的人。
他们将自己的奋战视为使命,
他们是时代英雄!
致敬,最美父母!
致敬,一线工作者!
保重,每一位无畏的逆行者!
我们一起打赢这场疫情防控战!
中国加油!武汉加油!
苏公网安备32011502010427号